Matrices y Determinantes. Selectividad Aragón
Sea la matriz

– a) Sin utilizar la regla de Sarrus, calcular el determinante de dicha matriz
– b) Estudiar el rango de A en caso de que ![]()
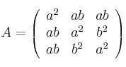
Sea la matriz

– a) Sin utilizar la regla de Sarrus, calcular el determinante de dicha matriz
– b) Estudiar el rango de A en caso de que ![]()