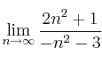
1259 Límites de Sucesiones Sábado 20 de octubre de 2007, por dani | sucesiones límites sucesiones Halla el siguiente límite de sucesiones: