Introducción a los sistemas lineales 2x2
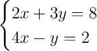
Un sistema lineal de dos ecuaciones con dos incógnitas (también llamado sistema 2x2) es un conjunto de dos ecuaciones, donde cada ecuación tiene hasta dos incógnitas (las mismas incógnitas en ambas ecuaciones). Ejemplo:

Para resolver el sistema, tenemos que encontrar dos números, de forma que al sustituirlos por x y por y, las dos ecuaciones se cumplan (no basta que con verifiquen una sóla ecuación, deben verificar ambas).
Para resolver uno de estos sistemas tenemos varios métodos:
– Sustitución: despejas una variable en una ecuación y la sustituyes en la otra.
– Igualación: despejas la misma variable en las dos ecuaciones y las igualas.
– Reducción (o eliminación): sumas o restas las ecuaciones para eliminar una variable.
Ver ejemplo resuelto por los 3 métodos
Ver más ejemplos
Pon tu ejemplo y te lo resolvemos al instante
También se pueden resolver de forma gráfica, pues cada ecuación representa una recta en el plano.
El punto donde se cruzan las rectas es la solución del sistema.
Si las rectas son paralelas, no hay puntos en común y el sistema no tiene solución
Si las rectas son coincidentes (uuna encima de la otra), hay infinitos puntos en común y el sistema tiene infinitas soluciones.