sistemas lineal 2x2
Resuelve el sistema de ecuaciones:

SOLUCIÓN
Método de Sustitución
Despejamos una incógnita en una de las ecuaciones y sustituimos esa expresión en la otra, obteniendo una ecuación con una sola incógnita.
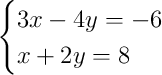
Sistema de partida:

Paso previo · Elegimos qué incógnita despejar
El coeficiente de x en la Ec.2 es 1: despejamos x de esa ecuación porque no aparecerán fracciones.
Paso 1 · Despejamos x de la segunda ecuación
![]()
Paso 2 · Sustituimos x en la primera ecuación
![]()
Paso 3 · Desarrollamos el paréntesis
![]()
Paso 4 · Agrupamos los términos con y a un lado y los números al otro
![]()
Paso 5 · Despejamos y
![]()
Paso 6 · Sustituimos y en la expresión del Paso 1 para hallar x
![]()
![]()
Solución
![]()
Método de Igualación
Despejamos la misma incógnita (x) en las dos ecuaciones e igualamos las expresiones resultantes. Así obtenemos una ecuación con solo y.
Sistema de partida:

Paso 1 · Despejamos x de la primera ecuación
![]()

Paso 2 · Despejamos x de la segunda ecuación
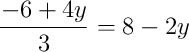
![]()
![]()
Paso 3 · Como ambas expresiones son iguales a x, las igualamos entre sí

Paso 4 · Multiplicamos en cruz para eliminar los denominadores
![]()
Paso 5 · Desarrollamos los paréntesis
![]()
Paso 6 · Pasamos todos los términos con y a la izquierda y los números a la derecha
![]()
Paso 7 · Despejamos y
![]()
Paso 8 · Sustituimos y en la expresión del Paso 1 para hallar x

![]()
Solución
![]()
Método de Reducción
Multiplicamos las ecuaciones por números adecuados de forma que, al sumar o restar, una incógnita se elimine.
Sistema de partida:

Paso previo · Elegimos la incógnita a eliminar
2 es múltiplo de 4 (coeficientes de y). Basta con multiplicar la Ec.2 por 2.
Paso 1 · Sistema equivalente tras multiplicar
![]()
![]()
Paso 2 · Signos contrarios en y: sumamos para eliminarla

Paso 3 · Despejamos x
![]()
Paso 4 · Sustituimos x en la primera ecuación para hallar y
![]()
![]()

![]()
Solución
![]()