3699
Integrales Selectividad Madrid
Calcular 
SOLUCIÓN:
Primero calculamos la integral indefinida y después le aplicamos los límites de integración.
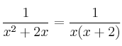
La integral
es de tipo racional (cociente de polinomios). Para resolverla:
– 1) Comprobamos que no es inmediata de tipo neperiano: el numerador no es la derivada del denominador
– 2) División de polinomios: como el grado del denominador es mayor, no necesitamos hacer la división de polinomios
– 3) Factorizamos el denominador para ver qué tipo de raíces tiene:
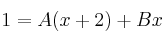
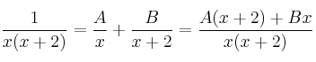
Se trata de Raíces Reales Simples, por tanto procedemos a descomponer en fracciones simples:
Basándonos en la igualdad
debemos calcular los valores de A y B (dando a x los valores de las raíces):
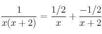
Si
Si
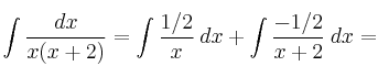
Por tanto, la descomposición sería:
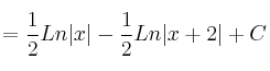
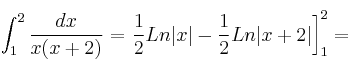
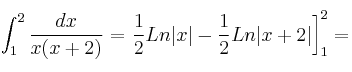
Y la integral quedaría:

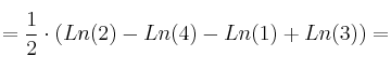
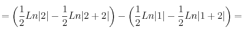
Ahora calculamos la integral definida (quitando la constante y aplicando los límites de integración):

P.D. La integral ya está calculada, aunque se podría simplificar aplicando las propiedades de los logaritmos
Matemáticas IES