2245

Integrales Inmediatas del tipo potencia de x

, por dani

Resuelve las siguientes integrales:

 \int (5x^3-4x^2) \: dx
 \int \frac{5}{x^3} \: dx
 \int \sqrt{3x^5} \: dx

SOLUCIÓN:

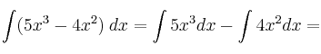
 \int (5x^3-4x^2) \: dx = \int 5x^3 dx - \int 4x^2dx =
=5 \int x^3 dx - 4 \int x^2 dx = \frac{5x^4}{4} - \frac{4x^3}{3} + C

 \int \frac{5}{x^3} \: dx = \int 5x^{-3} dx = 5 \int x^{-3}dx = \frac{5x^{-2}}{-2} + C
 \int \sqrt{3x^5} \: dx = \int \sqrt{3}\sqrt{x^5} \: dx =\sqrt{3} \int x^{\frac{5}{2}}dx = \frac{ \sqrt{3} x^{\frac{7}{2}}}{\frac{7}{2}} + C