Matemáticas IES
Inicio
<::: Apuntes :::>
Acceso Mayores 25 - UNED
Actividades interactivas
Blog
EJERCICIOS de Matemáticas
RECURSOS Educativos
_VIDEOS_
Portada del sitio
EJERCICIOS de Matemáticas
1º BACH. CIENCIAS
Integrales
Ejercicios de Integrales - 1º Bach. Ciencias
(86) ejercicios de Integrales
(#2504)
Seleccionar
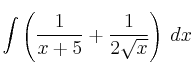
Resuelve la integral:
–
(#2505)
Seleccionar
Resuelve la integral:
–
(#2506)
Seleccionar
Resuelve la integral:
–
(#2507)
Seleccionar
Resuelve la integral:
–
(#2508)
Seleccionar
Resuelve la integral:
–
1
...
35
40
45
50
...
18
Crear un PDF con los Ejercicios Seleccionados
Secciones
1º BACH. CIENCIAS
Cónicas
Derivadas
Ecuaciones
Ecuaciones Exponenciales y Logarítmicas
Exámenes
Funciones (I)
Funciones II
Geometría en el Plano
Inecuaciones
Integrales
Logaritmos
Números Complejos
Números Reales
Polinomios y Fracciones Algebraicas
Probabilidad
Sistemas de Ecuaciones
Sucesiones
Trigonometría
1º BACH. SOC.
1º ESO
2º BACH. CIENCIAS
2º BACH. SOC.
2º ESO
3º ESO
4º ESO