Integral de Logaritmo Neperiano
Dada la función
, calcula una primitiva de
cuya gráfica pase por el punto ![]()
SOLUCIÓN
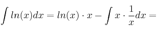
Calculamos
por partes:
![]()

![]()
Por tanto, cualquier primitiva será de la forma:
![]()
La primitiva que pasa por (e,3) cumple que F(e) = 3
![]()

Dada la función
, calcula una primitiva de
cuya gráfica pase por el punto ![]()
Calculamos
por partes:
![]()

![]()
Por tanto, cualquier primitiva será de la forma:
![]()
La primitiva que pasa por (e,3) cumple que F(e) = 3
![]()
