Hallar razones trigonométricas a partir de la tangente
La estrategia de este problema se divide en dos partes:
– primero calculamos 
 a partir de 
– en segundo lugar calculamos 
  a partir de  ![]()
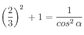
La fórmula que relaciona coseno y tangente es 
Usando el dato del enunciado tendríamos:



![]()


Como es un ángulo del primer cuadrante 
, tomamos la solución positiva: 
Los ángulos 
 y 
 tienen cosenos iguales pero de distinto signo Ver la explicación, por tanto: 

Sabiendo que 
 y que 
 , halla ![]()
 Matemáticas IES