Hallar Centro y Radio de Circunferencia
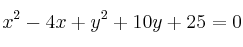
Halla el centro y el radio de la circunferencia ![]()
SOLUCIÓN
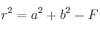
A partir de la ecuación general de la circunferencia
![]()
donde:
![]()
![]()
![]()
podemos obtener el centro (a,b) y el radio r
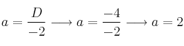
Para nuestro caso ![]()


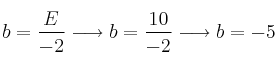
Luego el centro es ![]()
![]()
![]()
![]()

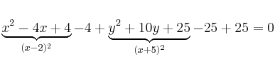
Otro método es transformar la ecuación general en ecuación canónica
![]()
![]()

![]()
![]()
De la ecuación canónica obtenemos centro y radio
Centro:
radio: