Matemáticas IES

  • Inicio
  • <::: Apuntes :::>
  • Acceso Mayores 25 - UNED
  • Actividades interactivas
  • Blog
  • EJERCICIOS de Matemáticas
  • RECURSOS Educativos
  • _VIDEOS_
  • Portada del sitio
  • EJERCICIOS de Matemáticas
  • 1º BACH. CIENCIAS
  • Funciones (I)

Ejercicios de Funciones (I) - 1º Bachillerato de Ciencias

(145) ejercicios de Funciones (I)

  • (#2083)     Seleccionar

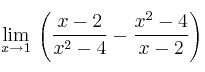
    \lim\limits_{x \rightarrow 1} \: \left( \frac{x-2}{x^2-4} - \frac{x^2-4}{x-2} \right)

  • (#2084)     Seleccionar

    \lim\limits_{x \rightarrow 2} \: \sqrt{\frac{1}{x^2-4x+4}}

  • (#2085)     Seleccionar

    \lim\limits_{x \rightarrow \infty} \: \sqrt{\frac{1}{x^2-4x+4}}

  • (#2086)     Seleccionar

    \lim\limits_{x \rightarrow \infty} \: \left( \sqrt{x^3-x^2+1} - \sqrt{x^3-x+1} \right)

  • (#2087)     Seleccionar

    \lim\limits_{x \rightarrow 1} \: \left( \frac{2x+1}{x+2} \right)^{\frac{1}{x-1}}

  • 1
  • ...
  • 70
  • 75
  • 80
  • 85
  • ...
  • 29
  • Crear un PDF con los Ejercicios Seleccionados
  • Secciones
  • 1º BACH. CIENCIAS
    • Cónicas
    • Derivadas
    • Ecuaciones
    • Ecuaciones Exponenciales y Logarítmicas
    • Exámenes
    • Funciones (I)
    • Funciones II
    • Geometría en el Plano
    • Inecuaciones
    • Integrales
    • Logaritmos
    • Números Complejos
    • Números Reales
    • Polinomios y Fracciones Algebraicas
    • Probabilidad
    • Sistemas de Ecuaciones
    • Sucesiones
    • Trigonometría
  • 1º BACH. SOC.
  • 1º ESO
  • 2º BACH. CIENCIAS
  • 2º BACH. SOC.
  • 2º ESO
  • 3º ESO
  • 4º ESO

2001-2026  — Matemáticas IES
Mapa del sitio | Conectarse | Seguir la vida del sitio  RSS 2.0

SPIP