Ejercicios de Funciones (I) - 1º Bachillerato de Ciencias

(145) ejercicios de Funciones (I)

  • (#1897)      Ver Solución Seleccionar

    Halla los extremos relativos de la función y=2x^2-4x-6

  • (#1900)     Seleccionar

    Estudia la continuidad de las siguientes funciones en los puntos que se indican:
    
f(x)= \left\{ \begin{array}{lcc}
              \frac{3-x}{2} &   si  & x < -1 
              \\2x+4 & si & x > -1            
              \end{array}
    \right.
    x = -1

    
f(x)= \left\{ \begin{array}{lcc}
              2-x^2 &   si  & x < 2 \\
              \frac{x/2}{-3} & si & x \geq 2            
              \end{array}
    \right.
    x = 2

    
f(x)= \left\{ \begin{array}{lcc}
              3x &   si  & x \leq 1 
              \\x+3 & si & x > 1            
              \end{array}
    \right.
    x = 1

  • (#1901)      Ver Solución Seleccionar

    Halla el valor de k para que la siguiente función sea continua.
    
f(x)= \left\{ \begin{array}{lcc}
              x^2-4 &   si  & x \leq 3 
              \\x+k & si & x > 3            
              \end{array}
    \right.

  • (#1902)     Seleccionar

    Halla el valor de k para que la siguiente función sea continua.
    
f(x)= \left\{ \begin{array}{lcc}
              6 - \frac{x}{2} &   si  & x < 2 
              \\x^2+kx & si & x \geq 2            
              \end{array}
    \right.

  • (#1903)     Seleccionar

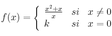
    Halla el valor de k para que la siguiente función sea continua.
    
f(x)= \left\{ \begin{array}{lcc}
              \frac{x^2+x}{x} &   si  & x \neq 0 
              \\k & si & x = 0            
              \end{array}
    \right.