2058

Funciones - Continuidad (analíticamente)

, por dani

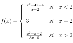
Estudia la continuidad de la función:

f(x)= \left\{ \begin{array}{lcc}
              \frac{x^2-4x+4}{x-2} &   si  & x < 2 \\
              \\3 & si & x = 2\\
              \\ \frac{x^2-x-2}{3x-6} &  si  & x >2 
              \end{array}
    \right.

en los puntos x=2