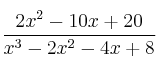
Fracciones algebraicas Miércoles 31 de octubre de 2007, por dani | polinomios fracciones_algebraicas Descomponer en suma de fracciones simples la fracción algebraica: