Navega sin publicidad Regístrate GRATIS

Estudio global de función racional

Ejercicios_Resueltosestudio global de funciónfuncionesgráfica

Dada la siguiente función:

f(x)=\frac { 1 }{ { x }^{ 2 }-4 }

Haz un estudio completo de la misma siguiendo los siguientes pasos:

a) Halla el dominio de la función.

b) Haz un estudio de las simetrías que presenta (si es par, impar o ninguna de las dos cosas).

c) Halla los puntos de corte con los ejes.

d) Haz un estudio de las asíntotas que presenta (verticales, horizontales y oblicuas).

e) Haz un estudio de la monotonía (crecimiento y decrecimiento) y de los extremos que presenta (máximos y mínimos).

f) Haz un estudio de la curvatura (concavidad y convexidad) y de los puntos de inflexión.

g) Representa gráficamente la función con Geogebra

SOLUCIÓN

f(x)=\frac { 1 }{ { x }^{ 2 }-4 }

a) Halla el dominio de la función.

x^2-4=0 \longrightarrow x= \pm 2

\textcolor{blue}{Dom(f)= R - \{-2,2 \}}

b) simetrías

f(-x)=\frac{1}{(-x)^2-4} = \frac{1}{x^2-4} = f(x)

Como f(x) = f(-x) \longrightarrow la función es PAR (simétrica respecto al eje OY)

c) Puntos de corte con los ejes.

Si x=0 \longrightarrow y=\frac{1}{0^2-4} = -\frac{1}{4}

Punto de corte \textcolor{blue}{\left( 0, -\frac{1}{4} \right)}

Si y=0 \longrightarrow 0=\frac{1}{x^2-4} No tiene solución. No hay más puntos de corte.ç

d) Asíntotas verticales

Las buscamos entre los valores que anulan el denominador: -2 y +2

\lim_{x \rightarrow -2^-} \frac{1}{x^2-4} = \frac{1}{0^+} = +\infty

\lim_{x \rightarrow -2^+} \frac{1}{x^2-4} = \frac{1}{0^-} = -\infty

\lim_{x \rightarrow 2^-} \frac{1}{x^2-4} = \frac{1}{0^-} = -\infty

\lim_{x \rightarrow 2^+} \frac{1}{x^2-4} = \frac{1}{0^+} = +\infty

Asíntotas verticales: \textcolor{blue}{x=-2} y \textcolor{blue}{x=2}

Asíntotas horizontales

\lim_{x \rightarrow -\infty} \frac{1}{x^2-4} = \frac{1}{\infty} = 0
\lim_{x \rightarrow +\infty} \frac{1}{x^2-4} = \frac{1}{\infty} = 0

Asíntota horizontal: \textcolor{blue}{y=0}

Asíntota oblicua no tiene (incompatible con asíntota horizontal)

e) Monotonía y extremos

f^{\prime}(x) = \frac{-2x}{(x^2-4)^2}

f^{\prime}(x) = 0 \longrightarrow \frac{-2x}{(x^2-4)^2}= 0 \longrightarrow -2x=0 \longrightarrow x=0

Los intervalos a considerar son:

(-\infty,-2) (-2,0) (0,2) (2, +\infty)

Analizamos el signo de la derivada en un punto de cada intervalo para comprobar si crece o decrece

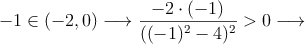
-3 \in (-\infty,-2) \longrightarrow \frac{-2 \cdot (-3)}{((-3)^2-4)^2}>0  \longrightarrow CRECE

-1 \in (-2,0) \longrightarrow \frac{-2 \cdot (-1)}{((-1)^2-4)^2}>0  \longrightarrow CRECE

1 \in (0,2) \longrightarrow \frac{-2 \cdot 1}{(1^2-4)^2}<0  \longrightarrow DECRECE

3 \in (2, +\infty) \longrightarrow \frac{-2 \cdot 3}{(3^2-4)^2}<0  \longrightarrow DECRECE

(-\infty,-2) (-2,0) (0,2) (2, +\infty)
\nearrow \nearrow \searrow \searrow

Los resultados anteriores y la continuidad de la función nos garantizan que hay un máximo en x=0
Calculamos su segunda coordenada

f(0)=\frac { 1 }{ { 0 }^{ 2 }-4 } = -\frac{1}{4}

MAX \left( 0, -\frac{1}{4} \right)

f) Curvatura y puntos de inflexión

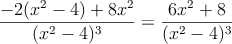
f^{\prime \prime}(x)=\frac{-2 \cdot (x^2-4)^2-(-2x)2(x^2-4)2x}{(x^2-4)^4} = \frac{-2(x^2-4)^2+8x^2(x^2-4)}{(x^2-4)^4}=

\frac{-2(x^2-4)+8x^2}{(x^2-4)^3}=\frac{6x^2+8}{(x^2-4)^3}

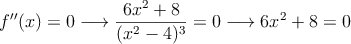
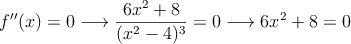
f^{\prime \prime}(x)=0 \longrightarrow \frac{6x^2+8}{(x^2-4)^3}=0 \longrightarrow 6x^2+8=0 No tiene soluciones reales.

Por lo tanto, no hay puntos de inflexión.

Los intervalos a considerar para la curvatura son los definidos por el dominio de la función

(-\infty,-2) (-2,2) (2, +\infty)

Analizamos el signo de la segunda derivada en cada uno de los intervalos

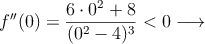
f^{\prime \prime}(-3)=\frac{6 \cdot (-3)^2+8}{((-3)^2-4)^3} >0 \longrightarrow CONVEXA en (-\infty,-2)

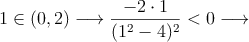
f^{\prime \prime}(0)=\frac{6 \cdot 0^2+8}{(0^2-4)^3} <0 \longrightarrow CÓNCAVA en (-2,2)

f^{\prime \prime}(3)=\frac{6 \cdot 3^2+8}{(3^2-4)^3} >0 \longrightarrow CONVEXA en (2, +\infty)

Comentar el ejercicio