3476
Ejercicio Integrales Cociente de Polinomios
Resuelve la integral:

SOLUCIÓN:
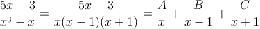
Tenemos una integral racional con una fracción algebraica que debemos descomponer en una suma de fracciones algebraicas simples.
Factorizamos el denominador
![]()
Entonces tenemos ![]()
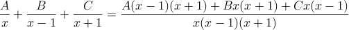
Como son raíces reales simples descomponemos de la forma:
![]()
Operamos
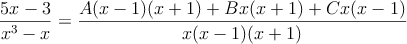
![]()
Entonces tenemos la igualdad
![]()
Igualamos los numeradores
![]()
Dando valores a "x" obtenemos A, B y C
Si ![]()
Si ![]()
Si ![]()
Como resultado de la descomposición tenemos:
![]()
Por tanto la integral será:
![]()
![]()
Matemáticas IES