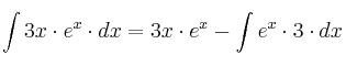
Ejemplo de Integración por Partes | integrales integración por partes Vamos a calcular Se trata de un polinomio por una exponencial, caso habitual de integración por partes (siendo "u" el polinomio y "dv" la exponencial) Antes de aplicar la fórmula , debemos especificar a qué llamamos y a qué llamamos – – – Derivamos u (respecto de x) y despejamos "du" – Integramos v – – Ahora que tenemos todos los datos, aplicamos la fórmula: Observamos que la parte a integrar es ahora más fácil 4 - Integración por partes Introducción a la Integración por Partes Ejemplo de Integración por Partes Secciones MATEMÁTICAS 01 - Números Naturales 02 - Números Enteros 03 - Fracciones 04 - Proporcionalidad y Porcentajes 05 - Sistemas de medida 06 - Polinomios 07 - Ecuaciones 08 - Sistemas de ecuaciones 10 - Sucesiones 11 - Geometría en el plano 12 - Estadística 13 - Probabilidad 14 - V.A. Unidimensionales 15 - Funciones, Límites y Continuidad 16 - Derivadas 17 - Integrales 1 - Integrales Inmediatas 2 - Integración de Funciones Racionales 3 - Integración por Sustitución (cambio de variable) 4 - Integración por partes 5 - Integral Definida. Aplicaciones de las Integrales 18 - Matrices y Determinantes 19 - Grafos 20 - Geometría en el espacio 21 - Trigonometría 22 - Logaritmos 23 - Matemática Financiera 25 - Inferencia Estadística LaTeX Palabras clave integración por partes integrales