Ecuaciones de la recta en el espacio 4567

, por dani

Dados los puntos A(3, -1, 0) y B(1, -5, 3) se considera la recta r que pasa por ambos. Se pide:

a) Halla un vector director de r.

b) Obtén la ecuación vectorial, paramétrica, continua e implícita (o general) de r.

SOLUCIÓN:

a) \vec{v_r} = \vec{AB} = (1-3, -5-(-1), 3-0) =(-2,-4,3)

b) Obtendremos las ecuaciones de la recta r usando el vector \vec{v_r}=(-2,-4,3) y el punto A(3, -1, 0)

Ecuación vectorial

(x,y,z) = (3,-1,0) + \lambda (-2,-4,3)

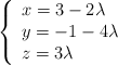
Ecuaciones paramétricas

\left\{ \begin{array}{lll} x=3-2\lambda \\  y=-1-4\lambda \\ z=3\lambda \end{array} \right.

Ecuación continua

\frac{x-3}{-2} = \frac{y+1}{-4} = \frac{z}{3}

Ecuaciones implícitas
\left\{ \begin{array}{ll} \frac{x-3}{-2} = \frac{y+1}{-4} \longrightarrow  -4(x-3)=-2(y+1)\\ \: \\ \frac{y+1}{-4} = \frac{z}{3} \longrightarrow 3(y+1) = -4z\end{array}\right.

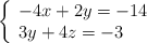
Quitando paréntesis y ordenando quedarían de la forma

\left\{ \begin{array}{ll} -4x+2y=-14 \\ 3y+4z=-3 \end{array}\right.