1960
Ecuación Continua de la recta
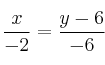
Halla la ecuación continua de la recta que pasa por los puntos
y ![]()
SOLUCIÓN:
Para expresar las ecuaciones de una recta necesitamos un punto y un vector director.
Como nos dan dos puntos, tomamos como punto uno de ellos y como vector director, el vector determinado por ambos puntos.
Punto
Vector ![]()
Ecuación continua 
Matemáticas IES