Ecuación de la recta que pasa por 2 puntos
Halla la ecuación de la recta que pasa por los puntos
y ![]()
SOLUCIÓN:
Para obtener la ecuación de una recta necesitamos un punto por el que pase y un vector director.
Como punto tomamos, por ejemplo el
y como vector tomamos el vector determinado por los dos puntos que nos dan: ![]()
No nos pide ninguna ecuación en especial, por tanto podemos poner la ecuación que queramos. En esta caso usaremos la ecuación continua

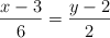
En nuestro caso será:
![]()
Matemáticas IES