Ecuación continua de la recta
Dados un punto
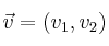
y un vector director
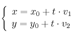
, podemos construir las ecuaciones paramétricas de la recta (a partir de la ecuación vectorial):

Si despejamos t en ambas ecuaciones e igualamos los resultados, obtenemos la ecuación continua de la recta:
