Distancia entre rectas que se cruzan
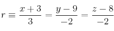
Halla la distancia entre las rectas:

SOLUCIÓN:
En primer lugar estudiamos la posición relativa de las rectas siguiendo este método
Necesitaremos un punto y un vector de cada recta

![]()
![]()

![]()
![]()
![]()

r y s se cruzan
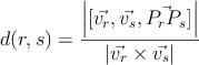
Ahora calculamos la distancia siguiendo el método 3 de la teoría
![d(r,s) = \frac{\left| [\vec{v_r},\vec{v_s},\vec{P_rP_s}] \right|}{\left| \vec{v_r} \times \vec{v_s} \right|} d(r,s) = \frac{\left| [\vec{v_r},\vec{v_s},\vec{P_rP_s}] \right|}{\left| \vec{v_r} \times \vec{v_s} \right|}](local/cache-vignettes/L179xH59/2b927f3fbc307fd3bdfc4c1bafa89b7e-e6686.png?1688040431)
![[\vec{v_r},\vec{v_s},\vec{P_rP_s}] = \left|
\begin{array}{ccc}
3 & -2 & -2
\\ -2 & 1 & 2
\\ 6 & -7 & -7
\end{array}
\right| = 9 [\vec{v_r},\vec{v_s},\vec{P_rP_s}] = \left|
\begin{array}{ccc}
3 & -2 & -2
\\ -2 & 1 & 2
\\ 6 & -7 & -7
\end{array}
\right| = 9](local/cache-vignettes/L276xH68/cce02601400196e03ce08ad512320957-6fccf.png?1688127428)

![]()
![]()
Están a una distancia de 3 unidades.
Matemáticas IES