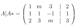
Discutir Sistema en función de un parámetro
– a) Discute en función del parámetro
el siguiente sistema de ecuaciones.
– b) Resuelve el sistema, en caso de ser posible, para ![]()

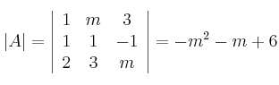
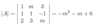
SOLUCIÓN


cuando
o ![]()
Ver solución completa en el siguiente vídeo
– a) Discute en función del parámetro
el siguiente sistema de ecuaciones.
– b) Resuelve el sistema, en caso de ser posible, para ![]()



cuando
o ![]()
Ver solución completa en el siguiente vídeo
Mensajes
9 de diciembre de 2015, 08:13, por Daniela
Muy bueno el trabajoooooooooooooooo
27 de enero de 2019, 17:35, por angel
donde esta el video?
28 de enero de 2019, 08:35, por dani
Ha hemos arreglado el enlace al vídeo.
Haga clic en el enlace y podrá ver el vídeo