Determinante y rango de una matriz 4191
Dada la siguiente matriz:

se pide:
a) Halla el determinante de A.
b) Halla el rango de A usando uno cualquiera de los siguientes métodos: Gauss ó determinantes.
SOLUCIÓN
a) ![]()
El determinante vale cero. Se puede calcular por la Regla de Sarrus, por Adjuntos, o aplicando las propiedades de los determinantes, donde
(donde F significa fila)
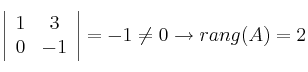
b) Usaremos el método de los determinantes (ya que tenemos calculado el determinante de orden 3 en el apartado anterior).
Al ser
, el rango no puede ser 3.
Veamos si el rango es 2

Mensajes
24 de octubre de 2019, 15:05, por justo
por favor necesito la parte explicativa del calculo del rango, es decir, detallar los pasos a seguir para resolver el ejercicio
24 de octubre de 2019, 22:20, por dani
En el siguiente enlace tiene la parte teórica:
– Qué es el rango de una matriz
– Cómo se calcula por Gauss
– Cómo se calcula por determinantes
Parte teórica del rango
29 de abril de 2020, 14:20, por María
Por qué al ser 0 el determinante no puede ser el rg= 3?
29 de abril de 2020, 18:28, por dani
Si miras las definiciones de rango verás que el rango es el orden del determinante no nulo más grande que podamos encontrar en la matriz.
En una matriz de 3x3 el determinante más grande posible es el que forma toda la matriz (un determinante de orden 3).
Si ese determinante es distinto de cero, el rg es 3
Si ese determinante es cero, el rango es dos o menos.