Derivadas Ejercicios

, por dani

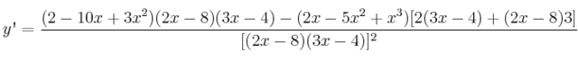
Calcula la derivada de la función y = \frac{2x-5x^2+x^3}{(2x-8)(3x-4)}

SOLUCIÓN:

y = \frac{2x-5x^2+x^3}{(2x-8)(3x-4)}

y\textsc{\char13} = \frac{(2-10x+3x^2)(2x-8)(3x-4)-(2x-5x^2+x^3)[2(3x-4)+(2x-8)3]}{[(2x-8)(3x-4)]^2}