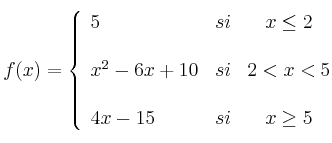
Delimitadores. Funciones a trozos
LaTeX
Índice de LATEX
Introducir fórmulas matemáticas
Exponentes, subíndices, fracciones y radicales
Letras griegas y símbolos matemáticos
Flechas, espacios y puntos suspensivos
Delimitadores
Matrices (array)
Delimitadores. Funciones a trozos
Sistemas de ecuaciones
Integrales, límites y sumatorios
Unos encima de otros
Más comandos en LaTeX
Primas y Resaltar Soluciones
Matemáticas IES
