Ángulo entre rectas 4201
Dadas las siguientes rectas:

Halla el ángulo entre r y s.
SOLUCIÓN
Para hallar el ángulo que forman dos rectas, basta con determinar el ángulo que forman sus vectores directores.
Por tanto, debemos obtener el vector director de cada recta.
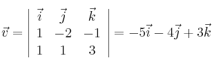
Para obtener el vector director de r usaremos el método descrito en la teoría

Por tanto ![]()
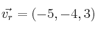
En la recta s podemos ver que todos sus puntos son de la forma
(siendo y cualquier número). Por ello un vector director sería
.
También podemos aplicar el método usado para la recta r y obtendríamos un vector parecido (0, n, 0). Recordemos que el vector director de una recta no es único (vale cualquier vector proporcional).
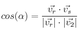
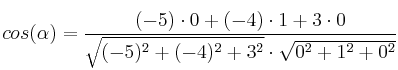
Ahora pasamos a calcular el ángulo
que forman ambos vectores



Usamos la calculadora (con
) y vemos que ![]()
Nota: Dos rectas o dos vectores forman dos ángulos (uno más grande que otro salvo que sean perpendiculares). Tomamos como ángulo el menor de os dos (por eso tomamos el coseno positivo)