📝 Ejercicios de producto_matrices
-
Sean las matrices
,
, 
a) Justifique cuáles de las siguientes operaciones se pueden realizar y efectúelas
cuando sea posible:


b) Resuelva la siguiente ecuación matricial:

-
Sean las matrices
– Halla
y
– Calcula la inversa de
– Comprueba que
-
Dadas las matrices
,
,
, 
De las operaciones siguientes, indica justificadamente cuáles no se pueden realizar y efectúa todas aquellas que puedas hacer.a)
b)
c)
d)
e)
-
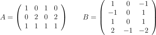
Sean las matrices A =
y B =
– a) Calcule los valores de a y b para que
– b) Para
y
, resuelva la ecuación matricial 
-
Calcula todos los productos posibles (de dos factores dsitintos) entre las siguientes matrices



-
Dadas las siguientes matrices

Indica razonadamente cuáles de las siguientes operaciones se pueden hacer y cuáles no y realiza todas aquellas que sí se puedan:
– a)
– b)
– c)
– d)
– e)
-
Dadas las siguientes matrices:

Indica razonadamente cuáles de las siguientes operaciones se pueden hacer y cuáles no y realiza todas aquellas que sí se puedan:– a)
– b)
– c)
– d)
– e)
– f)
-
Demuestra que
, siendo las matrices

-
Demuestra que
, siendo las matrices

-
Calcula
,
y
para que se cumpla que 


-
Dada la matriz
, encontrar todas las matrices
tales que 
-
Determina
,
y
sabiendo que la matriz
verifica

y rango(A) = 2
-
– a) Determine los valores de x e y que hacen cierta la igualdad

– b) Resuelva la ecuación matricial

-
Dadas las matrices
y

– a) Calcule
y
– b) Compruebe que
-
Dadas las siguientes matrices:

a) Halla

b) De las siguientes operaciones:
y
indica cual se puede realizar, justificando la respuesta. Halla aquella operación que pueda efectuarse.
