Operaciones con matrices
Dadas las siguientes matrices

Indica razonadamente cuáles de las siguientes operaciones se pueden hacer y cuáles no y realiza todas aquellas que sí se puedan:
– a)
– b)
– c)
– d)
– e) ![]()
SOLUCIÓN
– a) ![]()
No se puede hacer. Para poder sumar o restar matrices deben tener la misma dimensión.
es de dimensión ![]()
es de dimensión ![]()
– b) 
– c) 
– d) ![]()
No se puede hacer. El determinante sólo está definido para una matriz cuadrada
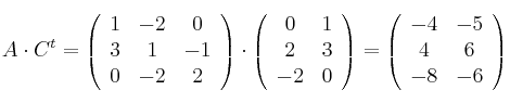
– e) 
