Variables aleatorias discretas
Variables aleatorias discretas
Tablas de probabilidad
son los distintos valores que puede tomar la variable
es la probabilidades de que
tome el valor ![]()

La suma de todas las probabilidades (
) tiene que valer
![]()
Ejemplo:
Consideremos la variable aleatoria «lanzar un dado». Vamos a crear su tabla de probabilidades.
![]()

Parámetros de una variable aleatoria discreta
– Esperanza matemática o media. Se representa por
o también con la letra griega ![]()
![]()
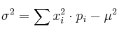
– Varianza. Se representa por
o también con ![]()
![]()
– Desviación típica. Se representa por
y es la raíz cuadrada positiva de la varianza
