Relación entre las razones trigonométricas
Veamos las relaciones entre las diferentes razones trigonométricas.
Para ello nos basaremos en la definición de las razones (siguiente imagen).
También nos basaremos en el Teorema de Pitágoras, que para el triángulo rectángulo de la imagen será ![]()
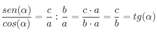
Si dividimos seno entre coseno ¿qué obtenemos?


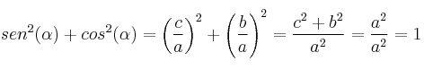
Ahora sumaremos seno al cuadrado + coseno al cuadrado a ver que obtenemos

Por Pitágoras ![]()
Lo que se obtiene se llama fórmula fundamental de la trigonometría

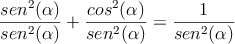
De la fórmula fundamental se pueden obtener otras fórmulas
![]()
Dividimos todo por ![]()
![]()
equivalente a ![]()
Si hacemos lo mismo, pero dividiendo por ![]()
![]()
equivalente a ![]()
Estas fórmulas nos van a permitir calcular las demás razones trigonométricas a partir de una de ellas.