Formula fundamental de la trigonometría y fórmulas derivadas
Recordemos la fórmula fundamental de la trigonometría:

Debemos saber antes de nada que
Por convenio se usa la primera expresión.
¿De dónde sale la fórmula fundamental?
Recordamos como se definen las razones trigonométricas



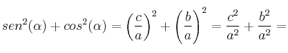
Si calculamos:
tenemos


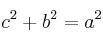
Por Pitágoras ![]()
Fórmulas derivadas
Si en la fórmula fundamental dividimos todo por ![]()

Obtenemos:

Iguamente, si dividimos por


Estas fórmulas nos permiten, por ejemplo, obtener el coseno a partir de la tangente.
Se usan bastante en ejercicios del tipo "Dada una razón trigonométrica, calcula las demás razones"