Contraste de Hipótesis para la proporción (unilateral)
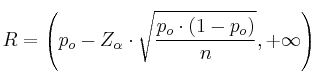
Contraste unilateral izquierda
(hipótesis nula: la proporción es menor o igual a
)
(hipótesis alternativa: la proporción es mayor que
)
Región de aceptación (R)

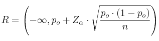
Contraste unilateral derecha
(hipótesis nula: la proporción es mayor o igual a
)
(hipótesis alternativa: la proporción es menor que
)
Región de aceptación (R)

Toma de decisión
– Si
aceptamos
– Si
rechazamos ![]()
Datos necesarios
–
: tamaño de la muestra
–
: proporción de la muestra
–
: valor crítico
Cálculo del valor crítico ![]()
– Confianza: 90%, 95%, 98%, etc.
– Nivel de confianza: 0.90, 0.95, 0.98, etc.
– Significación+Confianza = 100%
![]()
Ejemplo: Confianza del 96%
![]()
Miramos la tabla de la N(0,1) y vemos que el mas próximo a 0.96 es 0.9599.
Por tanto 