Contraste de Hipótesis para la proporción (bilateral)
Contraste bilateral
(hipótesis nula: la proporción es
)
(hipótesis alternativa: la proporción es distinta de
)
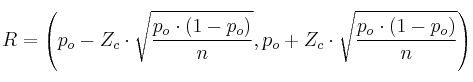
Región de aceptación (R)

Toma de decisión
– Si
aceptamos
– Si
rechazamos ![]()
Datos necesarios
–
: tamaño de la muestra
–
: proporción de la muestra
–
: valor crítico
Cálculo del valor crítico ![]()
– Confianza: 90%, 95%, 98%, etc.
– Nivel de confianza: 0.90, 0.95, 0.98, etc.
– Significación+Confianza = 100%

Ejemplo: Confianza del 95%
Miramos la tabla de la N(0,1) y obtenemos 