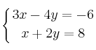
sistemas lineal 2x2 Miércoles 19 de abril de 2006, por dani | sistema_lineal_2_ecuaciones_2_incognitas Resuelve el sistema de ecuaciones: SOLUCIÓN:x=2; y=3