☰
Apuntes
Vídeos
Ejercicios
Resueltos
Por Curso
1º ESO
2º ESO
3º ESO
4º ESO
1º BACH. CIENCIAS
1º BACH. SOCIALES
2º BACH. CIENCIAS
2º BACH. SOCIALES
Más recursos
Actividades Interactivas
Selectividad (PAU)
Acceso Mayores 25
LaTeX
Navega sin publicidad
Regístrate GRATIS
Inicio
›
EJERCICIOS de Matemáticas
›
1º BACH. SOC.
›
Ecuaciones y Sistemas
›
sistema 2x2 nolineal
sistema 2x2 nolineal
sistema_no_lineal
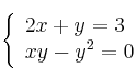
Resuelve el sistema de ecuaciones:
Comentar el ejercicio