probabilidad

, por dani

Sean los sucesos A y B tales que:
P(A)=\frac{3}{8}, P(B)=\frac{1}{2} y P(A \cup B) =\frac{5}{8}.
Calcula:

 a) P(A \cap B)
 b) P(\overline{A} \cap \overline{B})

SOLUCIÓN:

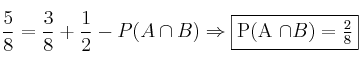
 a) P(A \cup B) = P(A) + P(B) - P(A \cap B)
\frac{5}{8} = \frac{3}{8} + \frac{1}{2} - P(A \cap B) \Rightarrow  \fbox{P(A \cap B)=\frac{2}{8}}

 b) P(\overline{A} \cap \overline{B}) = P(A \cup B)^c = 1-P(A \cup B) = 1-\frac{5}{8}=\frac{3}{8}