polinomios factorizar
Factoriza los polinomios:
– a)
– b) ![]()
SOLUCIÓN
Factorización de:
![]()
No hay factor común distinto de 1.
Paso 2 — Ruffini:
Los candidatos a raíces enteras son los divisores del término independiente (25):
![]()
![]()
![\polyhornerscheme[x=5, resultstyle=\color{red},resultbottomrule,resultleftrule,resultrightrule]{x^3-5x^2-5x+25} \polyhornerscheme[x=5, resultstyle=\color{red},resultbottomrule,resultleftrule,resultrightrule]{x^3-5x^2-5x+25}](local/cache-TeX/1259728b5b02d3b777456edd00af63f5.png)
![]()
Cuando ya no podemos encontrar más raíces por Ruffini podemos resolver la ecuación de segundo grado:
Resolvemos
por el método de las incompletas:
Despejamos
:
![]()
![]()
![]()
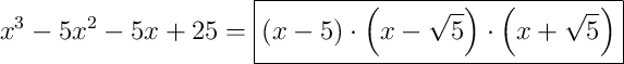
Resultado final de la factorización:

Factorización de:
![]()
Paso 1 — Factor común:
![]()
Paso 2 — Ruffini:
Los candidatos a raíces enteras son los divisores del término independiente (-12):
![]()
![]()
No hay raíces enteras; dejamos
![]()
Resultado final de la factorización:
![]()