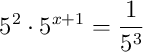
ecuaciones logaritmicas y exponenciales ecuacionesecuaciones_exponencialesEjercicios_Resueltos Resuelve la ecuación SOLUCIÓN Ecuación exponencial Comentar el ejercicio