Término general de una sucesión
Calcula el término general de la sucesión
6, 4, 2, 0, -2, ...
SOLUCIÓN:
Se trata de una progresión aritmética de diferencia ![]()
Podemos comprobar que cada término es el anterior restando 2.
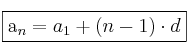
Aplicamos la fórmula del termino general de una progresión aritmética

Sustituimos en la fórmula la diferencia (
![]()
![]()

Matemáticas IES