Matemáticas IES
Inicio
<::: Apuntes :::>
Acceso Mayores 25 - UNED
Actividades interactivas
Blog
EJERCICIOS de Matemáticas
RECURSOS Educativos
_VIDEOS_
Portada del sitio
EJERCICIOS de Matemáticas
3º ESO
Sucesiones
Ejercicios de Sucesiones y Progresiones - 3º ESO
(50) ejercicios de Sucesiones
(#969)
Seleccionar
Halla el término general de la sucesión:
(#970)
Seleccionar
Halla el término general de la sucesión:
(#971)
Seleccionar
Hallar el término general de la sucesión:
(#972)
Seleccionar
Hallar el término general de la sucesión:
(#973)
Seleccionar
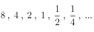
Hallar el término general de la sucesión:
0
5
10
15
...
10
Crear un PDF con los Ejercicios Seleccionados
Secciones
1º BACH. CIENCIAS
1º BACH. SOC.
1º ESO
2º BACH. CIENCIAS
2º BACH. SOC.
2º ESO
3º ESO
Ecuaciones
Estadística
Funciones y Gráficas
Geometría
Números Reales
Polinomios
Potencias
Probabilidad
Problemas especiales
Proporcionalidad y Porcentajes
Radicales
Sistemas de ecuaciones
Sucesiones
4º ESO