Sistemas de ecuaciones no lineales
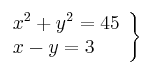
Resuelve el sistema de ecuaciones:

SOLUCIÓN:
Los sistemas de ecuaciones "no lineales" pueden llevar incógnitas elevadas a un exponente, incógnitas multiplicadas o divididas entre sí, etc.
Aunque hay muchos métodos para resolverlos, el de sustitución es casi siempre la mejor opción para este tipo de sistemas.
Podemos despejar "x" en la segunda ecuación

y sustituir en la primera ecuación:
![]()
Aplicamos las fórmulas de los productos notables
![]()
![]()
Como es una ecuación de 2º grado, pasamos todo a la izquierda, ordenamos y agrupamos:
![]()
Resolvemos usando la fórmula general

Ahora, para calcular "x" usamos la expresión donde la teníamos despejada:
![]()
Si ![]()
Si ![]()
Por tanto el sistema tiene dos soluciones:
y 
Matemáticas IES