Ejercicios de Sistemas de ecuaciones - Matemáticas 4º ESO

(19) ejercicios de Sistemas de ecuaciones

  • (#770)     Seleccionar

    Resuelve el sistema de ecuaciones:

    \left. \begin{array}{rr}
             x^2 + xy  = 10\\
             y^2 + xy = 15
             \end{array}
   \right\}

  • (#771)     Seleccionar

    Resuelve el sistema de ecuaciones:

    \left\{ \begin{array}{rr}
             2y - \frac{3x}{4} + \frac{5}{2} = 0\\
             x + \frac{y}{2} + 1  = 0
             \end{array}
   \right.

  • (#779)     Seleccionar

    Resuelve el sistema de ecuaciones:

    \left. \begin{array}{rr}
             x^2 + y^2  = 25\\
             2xy = 24
             \end{array}
   \right\}

  • (#788)     Seleccionar

    Resuelve el sistema de ecuaciones:

    \left. \begin{array}{rr}
             x^2 + y^2  = 100\\
             x - 7y = 50
             \end{array}
   \right\}

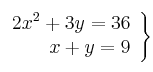
  • (#789)     Seleccionar

    Resuelve el sistema de ecuaciones:

    \left. \begin{array}{rr}
             2x^2 + 3y  = 36\\
             x + y = 9
             \end{array}
   \right\}