Sistema Lineal 3x3 Ejercicio 1687
Resuelve el sistema de ecuaciones:

SOLUCIÓN:

Vamos a aplicar el método de sustitución.
Despejamos
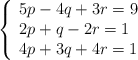
en la segunda ecuación y sustituimos en las otras 2 ecuaciones.
![]()
![]()
Tenemos un sistema de 2 ecuaciones con 2 incógnitas. Antes de resolverlo debemos quitar paréntesis y agrupar y ordenar las incñognitas
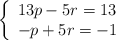
![]()
![]()
Como en la segunda ecuación todos son pares, podemos simplificar dividiendo por 2
![]()
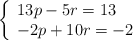
Podemos aplicar el método de reducción y sumar ambas ecuaciones (así se cancelará
)

Por tanto ![]()
Ahora en cualquiera de las dos ecuaciones sustituimos
por
y calculamos ![]()
![]()
Por último nos queda calcular
que la teníamos despejada al principio
![]()
Matemáticas IES