Simplificar expresión trigonométrica. Ejercicio 4456
Simplifica la siguiente expresión trigonométrica:
![\dfrac{\left[ sen\left( \frac{x}{2} \right)- cos\left( \frac{x}{2} \right)\right]^2 \cdot (1+sen(x))}{sen(2x)} \dfrac{\left[ sen\left( \frac{x}{2} \right)- cos\left( \frac{x}{2} \right)\right]^2 \cdot (1+sen(x))}{sen(2x)}](local/cache-vignettes/L269xH50/4cbaa7d51c51877c288ce6f2a895245c-5196c.png?1688067889)
SOLUCIÓN:
![\dfrac{\left[ sen\left( \frac{x}{2} \right)- cos\left( \frac{x}{2} \right)\right]^2 \cdot (1+sen(x))}{sen(2x)} \dfrac{\left[ sen\left( \frac{x}{2} \right)- cos\left( \frac{x}{2} \right)\right]^2 \cdot (1+sen(x))}{sen(2x)}](local/cache-vignettes/L269xH50/4cbaa7d51c51877c288ce6f2a895245c-5196c.png?1688067889)
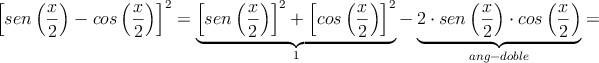
Aplicamos las fórmula de los productos notables para desarrollar el cuadrado
![\left[ sen\left( \frac{x}{2} \right)- cos\left( \frac{x}{2} \right)\right]^2 =\underbrace{\left[
sen\left( \frac{x}{2} \right) \right]^2 +\left[ cos\left( \frac{x}{2} \right) \right]^2}_{1} - \underbrace{2 \cdot sen\left( \frac{x}{2} \right) \cdot cos\left( \frac{x}{2} \right)}_{ang-doble}= \left[ sen\left( \frac{x}{2} \right)- cos\left( \frac{x}{2} \right)\right]^2 =\underbrace{\left[
sen\left( \frac{x}{2} \right) \right]^2 +\left[ cos\left( \frac{x}{2} \right) \right]^2}_{1} - \underbrace{2 \cdot sen\left( \frac{x}{2} \right) \cdot cos\left( \frac{x}{2} \right)}_{ang-doble}=](local/cache-vignettes/L599xH63/356617493934642318fa7c66d8bd615c-cc796.png?1688067889)
![]()
Hemos aplicado la fórmula fundamental y la fórmula del ángulo doble
La expresión inicial queda de la forma:
![]()
volvemos a aplicar las fórmulas de los productos notables
![]()
Hemos aplicado nuevamente la fórmula fundamental y la fórmula del ángulo doble
Matemáticas IES