Navega sin publicidad Regístrate GRATIS

Selectividad Andalucía 2021-1 A1

andalucíaEjercicios_ResueltosMatemat_Soc_Andalucia_2021programación_linealselectividadvértices

Un laboratorio farmacéutico tiene una línea de producción con dos medicamentos A y B, con marca comercial y genérico respectivamente, de los cuales, entre los dos como máximo puede fabricar 10 unidades a la hora. Desde el punto de vista del rendimiento, se han de producir al menos 4 unidades por hora entre los dos y por motivos de política sanitaria, la producción de A ha de ser como mucho 2 unidades más que la de B.
Cada unidad de tipo A que vende le produce un beneficio de 60 euros, mientras que cada unidad de tipo B le produce un beneficio de 25 euros. Si se vende todo lo que se produce, determine las unidades de cada medicamento que deberá fabricar por hora para maximizar su beneficio y obtenga el valor de dicho beneficio.

SOLUCIÓN

Sea "x" la cantidad de unidades del medicamento A.
Sea "y" la cantidad de unidades del medicamento B.

Las inecuaciones serían:

La cantidad de unidades a fabricar no puede ser negativa:
x \geq 0
y \geq 0

Entre los dos como máximo puede fabricar 10 unidades
x + y \leq 10

Se han de producir al menos 4 unidades por hora entre los dos
x+y \geq 4

La producción de A ha de ser como mucho 2 unidades más que la de B
x \leq y+2

La función objetivo: F(x,y) = 60x + 25y

Los vértices A y B están claros.
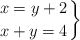
Debemos calcular los vértices C y D.

Para calcular el vértice C debemos resolver el sistema formado por las ecuaciones de las dos rectas que pasan por C

\left. x = y+2 \atop x + y = 10 \right\}

Se obtienen como soluciones x=6 \quad ; \quad y=4

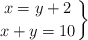
Para calcular el vértice D debemos resolver el sistema formado por las ecuaciones de las dos rectas que pasan por D

\left. x = y+2 \atop x + y = 4 \right\}

Se obtienen como soluciones x=3 \quad ; \quad y=1

Los vértices son A(0,4) , B(0,10) , C(6,4) , D(3,1)

Aplicamos la función objetivo a cada uno de los vértices:

F(x,y) = 60x + 25y

F(0,4) = 60 \cdot 0 + 25 \cdot 4 = 100

F(0,10) = 60 \cdot 0 + 25 \cdot 10 = 250

F(6,4) = 60 \cdot 6 + 25 \cdot 4 = \fbox{460}

F(3,1) = 60 \cdot 3 + 25 \cdot 1 = 205

Por tanto, el beneficio máximo será 460 euros cuando fabrique 6 unidades del medicamento A y 4 unidades del medicamento B.

Comentar el ejercicio