Navega sin publicidad Regístrate GRATIS

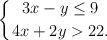
Resuelve gráficamente el siguiente sistema de...

Ejercicios_Resueltosinecuac_2_incog_grado_1

Resuelve gráficamente el siguiente sistema de inecuaciones de primer grado con dos incógnitas

\left\{ 3x-y \leq 9 \atop 4x+2y >22 \rifht.

SOLUCIÓN

Debemos resolver por separado cada una de las inecuaciones (como en este ejemplo), pero usando los mismos ejes de coordenadas.

La solución del sistema es la intersección de las soluciones de cada una de las incógnitas.

Comentar el ejercicio