Navega sin publicidad Regístrate GRATIS

Resolución de triángulos

Ejercicios_Resueltosproblemas trigonometríatrigonometría

Resuelve un triángulo isósceles sabiendo que el lado desigual mide 20 cm. y uno de sus ángulos mide 30 grados.

SOLUCIÓN

Hay dos posibles dibujos del triángulo

Si trazamos la altura, el triángulo queda dividido en dos triángulos rectángulos iguales (siempre debemos buscar triángulos rectángulos para poder aplicar Pitágoras y las razones trigonométricas)

Recordemos que resolver un triángulo es hallar el valor de todos sus ángulos y de todos sus lados. Lo haremos para ambos casos

Primer caso
 Un ángulo (el desigual) vale 30⁰
 Entre los otros dos ángulos tienen que sumar 180-30 = 150⁰ (porque entre los 3 ángulos de cualquier triangulo deben sumar 180⁰)
 Por tanto los otros dos ángulos miden 75⁰ cada uno

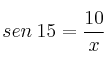
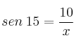
Si nos fijamos en el triángulo rectángulo de la derecha y llamamos x a uno de los lados iguales, podemos aplicar las razones trigonométricas:

sen \: 15 = \frac{10}{x} , de donde x=\frac{10}{sen \: 15} =38.6 aprox.

Por tanto los lados iguales miden 38.6 y el desigual 20

Segundo caso
En el segundo dibujo los ángulos valen 30, 30 y 120

Si miramos el triángulo rectángulo remarcado y llamamos x a la hipotenusa, podemos expresar:
cos \: 30 = \frac{10}{x} , de donde:
x=\frac{10}{cos \: 30} = 11.5 aproximadamente.

Por tanto los lados iguales valen aprox. 11.5 y el lado desigual 20

Comentar el ejercicio