Ejercicios de Radicales - Matemáticas 4º ESO

(59) ejercicios de Radicales

  • (#2380)     Seleccionar

    Racionaliza los siguientes denominadores:

     a) \: \frac{1 + \sqrt{6}}{2 \sqrt{3}}
     b) \: \frac{3}{\sqrt[3]{5}}

  • (#2381)     Seleccionar

    Calcula y simplifica:

     a) \: \sqrt[4]{3} \cdot \sqrt[3]{4}
     b) \: \frac{\sqrt[8]{8}}{\sqrt{2} \cdot \sqrt[4]{3}}

  • (#2382)     Seleccionar

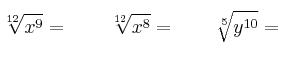
    Simplifica los siguientes radicales:
    \sqrt[12]{x^9}= \qquad \sqrt[12]{x^8}= \qquad \sqrt[5]{y^{10}}=
    \sqrt[6]{8}= \qquad \sqrt[8]{64}= \qquad \sqrt[8]{81}=

  • (#4100)      Ver Solución   solución en VÍDEO Seleccionar

    Simplifica la siguiente expresión \left (\frac{\sqrt[6]{32}}{\sqrt{8}} \right )^3