Proporcionalidad de velocidades
Las velocidades de 3 automóviles : A, B y C son proporcionales a 9, 4 y 8 respectivamente. A y B parten juntos de M al encuentro de C, quien parte de N al mismo tiempo y al encuentro de los primeros. Si C se encuentra primero con A y después de recorrer 50 km se encuentra con B, ¿ qué espacio total recorrió B hasta encontrarse con C?
SOLUCIÓN:
La situación inicial es la siguiente
En la siguiente imagen marcamos los puntos de encuentro:
– el punto de encuentro de C y A (pasados x km)
– el punto de encuentro de C y B (50 km después)
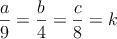
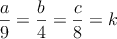
Supongamos que a, b y c son las velocidades de A, B y C (que son proporcionales a 9,4 y 8). Lo podemos expresar así:
![]()
Los 3 cocientes son iguales. A su valor le llamamos k (constante de proporcionalidad)
![]()
Entonces las velocidades (en km/h) son:
![]()
![]()
![]()
Recordemos que ![]()
Cuando se encuentran C y A sus tiempos son iguales, por tanto:
![]()
Igualmente, cuando se encuentran C y B obtenemos
![]()
Tenemos un sistema de dos ecuaciones con dos incógnitas
En primer lugar quitamos denominadores multiplicando en cruz
![]()
Resolvemos por reducción: multiplicamos por (-1) la segunda ecuación y las sumamos

![]()
Ahora debemos calcular "y" (que es el espacio que nos piden)
Tomamos una de las ecuaciones y sustituimos x por su valor
![]()
![]()
![]()
![]()
Recorrió ![]()
Matemáticas IES